Anyone takes NAC? Plus maybe Glycine? Extends mouse lifespan by 24%. Glycine extends mouse lifespan by 5% in ITP study

We ingest from our diet…methionine amino acids at about 1g per day and glycine about 2-3g

So basically 1g of nac (cysteine is a methionine amono acid) and 2-3g of glycine already doubles our daily intake average and should boost gluthathione.

I dont think there is really a need to go up till 7g nac personally unless ur above 60yo and yr glythathione levels are only say 20% of when ur 20yo so u need more nac and glycine…presumably the conversion of cysteine and glycine into gluthathione gets less effective as we age

AFAIK excess gluthathione is converted into cystein and glycine and excreted from the body via the liver anyway

2 Likes

You certainly could be right. We just need more data to confirm. I also have reservations about taking such a high dose of NAC around training.

I have been taking gly nac for 1m now. I am 41yo fyi.

I definitely feel it has an effect on me overall. In fact, my personality has changed. Better self control, i feel “detoxed” like how i was when i was in my teens or early 20s.

I feel my cognition is better too and i feel a lot more energy? My nails and hair seem to grow faster and my skin also seems better.

The only side effect is it seems to make my cognition more impaired or cloudy (subjectively) at higher doses.

I think its probably within my top 3 supplements to take frankly. The other 2 being nmn (really increases overall sense of well being and energy initially greatly) and astaxanthin (makes me think better) which also had noticeable effects on me.

I will try it out for 2 more months haha. My dosage is lowered now. I am only taking 1-2g nac and 2-3g glycine daily i figure thats all i need. Will share my experiences of n=1 here.

2 Likes

Are you splitting the doses twice daily or all at once? When do you time it

New video

I’m at work and can’t listen to it. What is the dose mentioned?

He is mentioning that 2 gr of each might be good in some cases. But that rational is for the insiders, which I am not (yet).

1 Like

I just take everything in the morning.

Glynac is a very powerful brain drug.

It seems to be on par with those ssris even based on the human studies on depression ocd schizophrenia even

https://pmc.ncbi.nlm.nih.gov/articles/PMC6377501/

Glutathione is a major antioxidant and redox regulator in cells. In addition to its essential roles in redox homeostasis, it functions as cofactors for a multitude of enzymes. We show here that the glutathione cycle molds the activity of synaptic glutamate, the major excitatory neurotransmitter in the central nervous system. Deficits in glutathione have been linked to multiple neurodegenerative and neuropsychiatric disorders. Accordingly, agents that restore glutathione-glutamate homeostasis may afford therapeutic benefit.

Is it recommended to take a liposomal form of glutathione? If so, what brands do you favor?
Also, at 2g/d, can be very expensive!

Not recommended. When you swallow glutathione directly, your digestive system — particularly enzymes in the gut — breaks it apart into its three component amino acids (glycine, cysteine, and glutamate) before it can be absorbed intact. So much of it never reaches your cells as functional glutathione.

Your body has to reassemble it anyway, and the bioavailability of oral glutathione is generally considered poor, though liposomal forms have improved this somewhat.

Rather than trying to “smuggle” in the finished product, you give the body the rate-limiting building blocks it needs to make glutathione itself. This approach essentially bypasses the absorption problem by letting your own cells synthesize glutathione intracellularly, right where it’s needed.

5 Likes

FWIW…

There is an injection version of GlyNAC being sold.

And another peddling GlyNACET{yes NACET with glycerin)

A link to the original paper/ PR release

Taking glycine and NAC supplements together is much more affordable than GLNAC.

Glad Physionic brought out the fact that in humans, ~2 grams of each is sufficient. And for you younger members, don’t waste your money.

“published human trials used lower doses (~2–3g of each per day for an average adult).”

“Do you think that taking glycine and NAC at the same time could be similar or equivalent to taking the patented GLYNAC supplement?”

This is a great question, and the short answer is: yes, very likely — with some important nuances.

What is GlyNAC?

GlyNAC is a combination supplement of Glycine and N-Acetyl Cysteine (NAC) studied primarily by Dr. Premranjan Kumar at Baylor College of Medicine. The research focuses on correcting deficiencies in glutathione (GSH) — the body’s master antioxidant — which declines significantly with aging.

Is “DIY GlyNAC” the same thing?

Essentially, yes. The patented GlyNAC product is simply glycine + NAC together. The patent likely covers the specific combination, dosing rationale, and/or formulation, not any novel molecule. Both compounds are:

  • Widely available as individual supplements
  • Generally recognized as safe (GRAS)
  • Identical in molecular structure to what’s used in the research

So taking glycine and NAC separately or together should be chemically and biochemically equivalent.

The key dosing from the research

Dr. Kumar’s studies used:

  • Glycine: ~1.33 mg/kg body weight (roughly 100 mg/kg in some protocols — check the specific study)
  • NAC: ~1.33 mg/kg body weight

A commonly cited practical dose is around 100 mg/kg/day of each, though published human trials used lower doses (~2–3g of each per day for an average adult).

Why take them together?

The rationale is synergistic:

  • NAC provides cysteine, the rate-limiting precursor to glutathione
  • Glycine provides the other amino acid needed for glutathione synthesis, and is itself often deficient in older adults
  • Together they more effectively replenish glutathione than either alone

Caveats to keep in mind

  • Bioavailability: The research used specific doses; a combined capsule vs. separate powders shouldn’t differ meaningfully.
  • Quality: Source both from reputable, third-party tested manufacturers.
  • The patent is on the concept/formulation, not the molecules — so DIY is not cutting corners on chemistry.
  • NAC regulatory status: The FDA has taken an ambiguous stance on NAC as a supplement in the US (it was previously a drug), so availability can vary.

Bottom line

Taking glycine and NAC together is, for all practical purposes, the same thing as GlyNAC. The branded product offers convenience and pre-set dosing, but there is no proprietary molecule or secret ingredient. The DIY approach is a reasonable and cost-effective alternative, as long as you match the dosing used in the clinical research.

5 Likes

yes i am not biologically trained but reading up on nac and glycine makes me realise how complicated their interaction with each other and glutamate, serotonion and gluthathione is.

i used to think they are just like whey protein but they are not :sweat_smile:

nac and glycine are also really effective for various mental illnesses it seems, almost equal to prozac from what i read.

these are really brain changing compounds, these 2 amino acids.

my advice is to change the dosages slowly, dont; be like me and double them overnight, because our body is seeking to maintain homeostasis and sudden changes induces huge variations in chemicals without giving our body time to adjust and react.

2 Likes

What age is recommended to start?

If I had known then what I know now, I would have started GlyNAC somewhere around age 45–50. We still don’t have the full picture, and we probably never will, but waiting for “perfect” data is not an option for me.The human data so far is very promising, and because GlyNAC is composed of well‑studied amino acids, we already understand a great deal about their absorption and metabolism

2 Likes

i think we are about 10-20y away from real age reversal tbh

the kind where you take a pill with different chemicals david sinclair’s work here: Chemically induced reprogramming to reverse cellular aging | Aging

or the gene therapy type

a lot of it is pre clinical now

so if we can try to stay in good health for 10 more years a lot of stuff will come on board i believe

we only fully decoded the dna in 2000s and in 2 decades we have gone very far from being able to do cloning to stem cells to now gene therapy to being able to read our own dna with a thumbdrive device

1 Like

I don’t know, but I think 60 years old was mentioned somewhere. The reason for this is because if something isn’t broken, you can’t fix it.

Oh well. I’m starting it in my 30s. I’ve always found NAC makes me feel pretty good.

1 Like

I have taken both Glycine and NAC for several years. However, I did not take them together until recently. After reading more about GlyNAC as a combination, I moved the NAC next to the Glycine in my coffee cupboard. The Glycine powder goes into my coffee and the NAC capsule is taken with the coffee. I take many supplements suggested for longevity, and have for the last 12 years. I believe it is normal not to experience immediate benefits. However, I am 83 and commonly told I appear many years younger. I gave Gemini 3.0 my list of supplements and received the information that it estimated I would live to 118. My weight has decreased gradually by 60 pounds over the last 10 years and I am now at normal weight. In fact, the small cyst on one kidney has decreased in size over the years. The thyroid goiter has disappeared. Although a Type II diabetic because my mother, her sister, and their mother all died of diabetes complications, my PCP says I am no longer diabetic. My cardiologist says my heart refraction rate, always good, has improved. The hyper-pigmentation on my face has lightened and reduced in size. The dermatologist said my skin is unusually good for my age. I have lots of energy and spend several hours a day working on my computer with Excel and other productivity programs. Outside I trim trees, build rat feeding stations I position in the gutter, etc. What do I take? TA-65, Rapamycin, Methylene Blue, NAD+, Metformin, Turmeric, Quercetin, Astaxathin, DHEA, Taurine, Zinc Caps, Omega 3s, and much more. Problems? None except constantly trying to control my impulse to add more supplements - there has to be a limit somewhere.

9 Likes

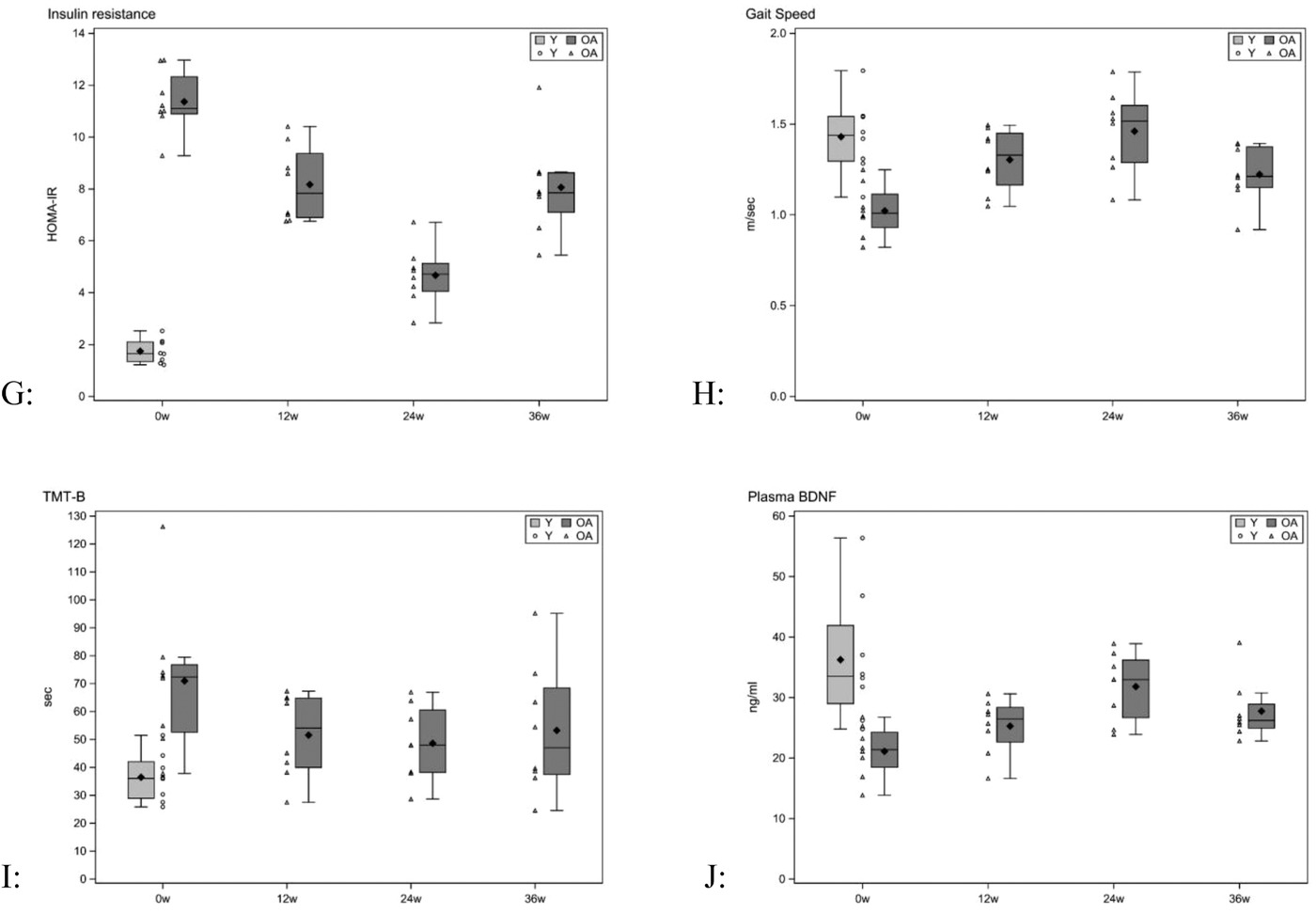
gly nac’s effects increase over time and maxed at 24 weeks in this 24 weeks study in older adults (74yo).

i am sticking to 1-2g each per day, my logic is that the average diet provides 1-2g of methionine amono acid daily and my glutathione levels at 41yo is on average 20% lower than 20yo, so I think 1-2g of nac should be enough to raise my glutathione levels to 20% higher.

if u believe their study entirely, then those older adults (74) on glynac have the same gait speed as young ppl (24) after 24 weeks…