Two ways to beat cancer

Two very interesting articles on ways to very significantly lower cancer mortality.
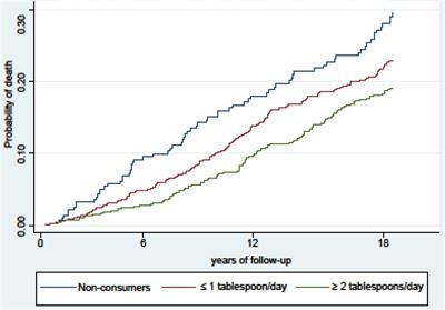
This first one showing that > 2 tbls of olive oil per day reduces overall mortality by 30% and cancer mortality by a whopping 51%.

Here’s a study showing the importance of muscle strength in men . It very significantly reduced cancer mortality independent of adiposity.

Lift weights. Eat olive oil.

7 Likes

Not sure if it is allowed to link to another forum here, but there was a fantastic discussion about the fact that most olive oils that carry the label “extra virgin olive oil” are in fact not EVOO. How the olives/EVOO is processed, storage conditions (oxygen exposure, light, temperatures etc) are all very important when it comes to the phenolic content of (EV)OO. Albeit this study seems to suggest even the consumption of lower quality olive oil may result in health benefits.
For a few years I bought my EVOO straight from a renowned farm abroad - because of these issues with extra virgin olive oil. The taste was incomparable to store-bought EVOO; family still asks me for this EVOO years down the line. But the costs of international shipping were prohibitive.

1 Like

You should be able to tell a good OO from the peppery taste of the polyphenols like oleocanthal. I like Greek versions like PJ Kabos. Expensive though and may not be necessary.

1 Like

There was an in-depth discussion on Olive Oil and oleocanthal benefits and sources in this thread: Dietary Inflammation Tied to Muscle Aging

2 Likes

Thanks RapAdmin; interesting, had not remembered that thread. I think the randomised controlled PREDIMED trial is probably one of the most interesting EVOO-trials to date. It was the reason I increased my daily consumption of EVOO years ago. Interesting also, is that they especially used an EVOO high in phenols (from Spain) in this trial.
Either way, given the many issues with store-bought EVOO, the rather quick degradation of phenols in EVOO as studies also point out, the fact I could not buy seasonal high quality EVOO, and it took a lot of effort/expenses to import EVOO from Spain, I stopped eating EVOO altogether. As I’m planning to stay in Spain for a while I may reconsider however :wink:

2 Likes

The PREDIMED trial: https://www.nejm.org/doi/full/10.1056/nejmoa1800389

2 Likes

Causation or correlation?

I love olive oil and believe in its health benefits but it’s wrong to suggest this study shows that “2 tbls of olive oil per day reduces overall mortality by 30%.” There is a big difference between causation and association and these epidemiological studies are always full of large holes. First, I really doubt you could find a Spaniard who consumes no olive oil. People eat out a lot and olive oil in Spain is just ubiquitous. Also, as the study makes clear, the >2 tbls group is from a higher economic strata, more educated and presumably better equipped to use medical services to avoid CVD and cancer, or at least recognize it at an earlier stage and have it treated. Finally I serious doubt people have a very good recollection of what they ate for an entire year. I certainly can’t remember last Thursday. (And I have a high OOC consumption).

1 Like

I have a shot of EVOO every day. Mine is store bought - Bertolli brand. According to the analysis of brands, it appears to be a good one. Although the article above makes me doubt that now.

Supplements like NMN, Fisetin, Quercetin and even Rapamycin have improved bioavailability when taken in EVOO. I also add turmeric and black pepper to my EVOO as those prove bioavailability as well.

Of course these types of studies looking at various nutritional components of diets will always be suspect, but they’re as good as we’re going to get . Probably not going to get a high powered diet RCT trying to demonstrate causation.
There’s an enormous amount of evidence suggesting multiple health benefits from OO and some of it may be due to improved mitochondrial function.

There are store bought brands of domestic origin that usually are extra virgin and minimal oxidation.The characteristics of deteriorated EVOO and good evoo, its a very clear difference and is definitely possible to find good mainbrand options just have to be careful. But I think EVOO is the baseline , plain olive oil in the clear containers blasted by light for months definitely cannot be considered a real health promoting product (the bar cant be set too low).

Thanks. It’s not just oxidation though; it seems likely that most EVOO that has been standing in a store for a while is low in phenols. I read some research a while ago that tested the changes in phenolic content and these changes were significant in a relatively short time frame.

It’s very interesting though that the study didn’t distinguish between any of the different forms/ types/ storage considerations, and yet the results were very significant.

Are you referring to the PREDIMED trial or the studies you posted yourself? Since the PREDIMED trial as far as I’m aware is the only OO trial wherein the subjects consumed high quality (Spanish) EVOO, of which the phenolic content was tested.
What you state, that despite the fact that other studies don’t distinguish forms/types/storage conditions, and still such favourable results are seen, is interesting indeed.

Valter Longo suggests 50ml of olive oil daily

Yes, I was referring to the study that I posted.

Maybe we’d be better off eating the whole olives. Less degradation probably.

1 Like

Interesting that no one ever mentions eating the whole olive. There may be some additional benefits but I think it would take a lot of olives to equal tablespoons of oil.

3 Likes

I love olives - but the oil is easier for use in cooking, etc. than eating olives all the time. And there is a fair amount of sodium in the typical canned / jar of olives in my experience.

2 Likes

Oleic acid (from EVOO) has many interesting properties, studies seem to suggest. Albeit olive leaf extract may be interesting also for its secoiridoids: